災害復旧事業は、暴風、洪水、高潮、地震、その他異常な天然現象により被災した公共土木施設を「公共土木施設災害復旧事業費国庫負担法」に基づき復旧する事業です。
復旧にあたっては、災害に強い国土の整備を目標に、被災原因の除去、再度災害防止等の検討を行い、早期復旧を目指し災害復旧事業・改良復旧事業を実施しています。
また、「美しい山河を守る災害復旧基本方針」に基づき、自然環境の保全に配慮した事業を実施しています。
![]()
![]()
![]()
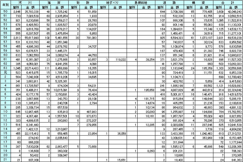
(単位:千円)


普通河川 里平川 災害関連事業(H15年災)
町道里平陽明中里線 災害復旧事業(H15年災)
被災状況 復旧後

二級河川 厚別川 災害復旧助成事業(H15年災)
被災状況 復旧後

二級河川 厚別川 災害復旧助成事業(H15年災)
被災状況 復旧後
主要道道 小樽定山渓線 災害復旧事業(H18年災)
被災状況 復旧後




